· Abstracts CPLF 2026
Logo CPLF 2026

Résumés CPLF 2026 

Prévalence des causes génétiques de fibrose pulmonaire chez les patients atteints de maladies rhumatismales auto-immunes systémiques nécessitant une transplantation pulmonaire

Résumé AD01-53
Frappa M.1 ; Bunel V.1 ; Le Pavec J.2 ; Picard C.3 ; Juge PA.4 ; El Husseini K.1 ; Merveilleux C.5 ; Degot T.6 ; Villeneuve T.7 ; GijsP-J.8 ; Reynaud – Gaubert M.9 ; Blanchard E.10 ; Planté-Bordeneuve T.11 ; Morel H.12 ; Kannengiesser C.12 ; Ba I.12 ; Borie R.1
1Service de Pneumologie, transplantation et Allergologie, Hôpital Bichat, Paris ; 2Service de Pneumologie, Hôpital Marie Lannelongue, Le Plessis – Robinson ; 3Service de Pneumologie, Hôpital Foch, Suresnes ; ; 4Service de rhumatologie, Hôpital Bichat, Paris ; ; 5Service de Pneumologie, Hôpital Louis Pradel, Lyon ; ; 6Service de Pneumologie, Nouvel Hôpital civil, Strasbourg ; ; 7Service de Pneumologie, Hôpital Larrey, Toulouse ; ; 8Centre Hospitalier Universitaire Vaudois: Lausanne, Suisse ; 9Service de Pneumologie, Hôpital Nord, Marseille ; 10Service de Pneumologie, CHU Bordeaux, Pessac ; 11Service de Pneumologie, CHU UCL Namur, Belgique ; 12Service de génétique, Hôpital Bichat, Paris

Auteur correspondant : Borie R. 


Introduction

La taille des télomères et la présence de variants rares des gènes liés aux télomères (TRG) ont un impact dans le pronostic des pneumopathies interstitielles diffuses (PID) en particulier après transplantation pulmonaire, mais ont surtout été évalué dans la fibrose pulmonaire idiopathique. La cohorte francophone SOCRATE a inclus des patients PID de connectivite (PID-CTD) ayant reçu une transplantation pulmonaire afin de décrire la taille des télomères et la fréquence de variants rares des TRG chez ces patients et d’en évaluer l’impact pronostique.

Méthodes

Nous avons identifié tous les patients PID-CTD transplantés pulmonaires entre 2005 et 2024 par le réseau de transplantation pulmonaire Francophone et par le réseau OrphaLung. Nous avons recueilli les données cliniques par lecture rétrospective des dossiers médicaux.

Résultats

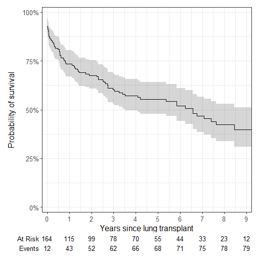
La cohorte a inclus 168 patients, 80 (47%) femmes et 72 (42%) ex-fumeurs. L’âge moyen au diagnostic de la CTD était de 44,4 ans (±18,1). Les patients étaient atteints de sclérodermie systémique (n=76, 45%), de polyarthrite rhumatoïde (n=31, 18%), de myopathie inflammatoire (n=22, 13%), ou d’autres CTD (n=39, 23%). L’âge moyen au diagnostic de la PID était de 46,1 ans (±12,4). Les aspects de PID étaient : pneumopathie interstitielle non spécifique (n=96, 57%), pneumopathie interstitielle commune (n=45, 26%), chevauchement et inclassables (n=27, 16%). Avant transplantation la CVF moyenne était de 57,6% de la théorique (± 20,1) et la DLCO de 29% (±15,2), et 76,2% présentaient une hypertension pulmonaire. L’âge moyen à la transplantation était de 52,3 ans (±11,2), 17,9% ont été réalisées en urgence, et 68,7% étaient des transplantations bipulmonaires. Après un suivi médian de 2,7 ans (IQR 0,7-6,2), 82 patients (49,7%) étaient décédés. La médiane de survie post transplantation était de 6,6 ans (IC 95% 3,5-12,5). L’évaluation de la fréquence des variants rares des TRG (2/24), de MUC5B rs35705950 (1/21), et de la longueur des télomères sont en cours. .

Conclusion

Dans notre cohorte, les patients étaient plus fréquemment des hommes et la sclérodermie systémique était la CTD la plus fréquente. Les analyses génétiques sont en cours mais les résultats intermédiaires suggèrent une fréquence faible des variants rares des TRG.

8502.png

Frappa M. * ; Bunel V. * ; Le Pavec J. * ; Picard C. * ; Juge PA. * ; El Husseini K. * ; Merveilleux C. * ; Degot T. * ; Villeneuve T. * ; GijsP-J. * ; Reynaud – Gaubert M. * ; Blanchard E. * ; Planté-Bordeneuve T. * ; Morel H. * ; Kannengiesser C. * ; Ba I. * ; Borie R. 
*Déclarent ne pas avoir de lien d'intérêt en rapport avec ce résumé.

 


Avec le soutien institutionnel du laboratoire GlaxoSmithKline GSK