· Abstracts CPLF 2026
Logo CPLF 2026

Résumés CPLF 2026 

Évaluation en vie réelle des bénéfices et complications de la réduction de volume pulmonaire par valves endobronchiques dans l’emphysème sévère : étude rétrospective monocentrique au CHU de Caen

Résumé PO20-522
Dabout F.*1 ; Magnier R.2 ; Justet A.1 ; Campbell K.1 ; Rivière F.1 ; Bergot E.1 ; Seyer L.1
1Service de Pneumologie, CHU Caen-Normandie, Caen, France ; 2Service de Pneumologie, CH Aunay-Bayeux, Bayeux, France

Auteur correspondant : Seyer L. 


Introduction

La réduction de volume pulmonaire par valves endobronchiques représente une alternative bronchoscopique validée dans l’emphysème sévère, avec des bénéfices cliniques et fonctionnels démontrés dans les essais randomisés [1]. Cependant, les données en vie réelle restent limitées et la tolérance à moyen et long terme soulève des interrogations. L’objectif de ce travail était d’évaluer les bénéfices cliniques et complications des valves endobronchiques Zephyr® dans un centre français.

Méthodes

Cette étude rétrospective monocentrique incluait l’ensemble des patients ayant bénéficié d’une implantation de valves endobronchiques au CHU de Caen entre mai 2023 et juin 2025. L'inclusion a été systématique et concernait l’ensemble des patients effectivement traités dans le service, indépendamment de leur conformité stricte aux standards de sélection. Les données démographiques, fonctionnelles, radiologiques et procédurales ont été recueillies. Le suivi comportait une évaluation standardisée à 45 jours (stade mMRC, EFR, test de marche, scanner thoracique), puis si nécessaire un suivi au CHU de Caen. Les complications, réinterventions et retraits de valves ont été systématiquement consignés.

Résultats

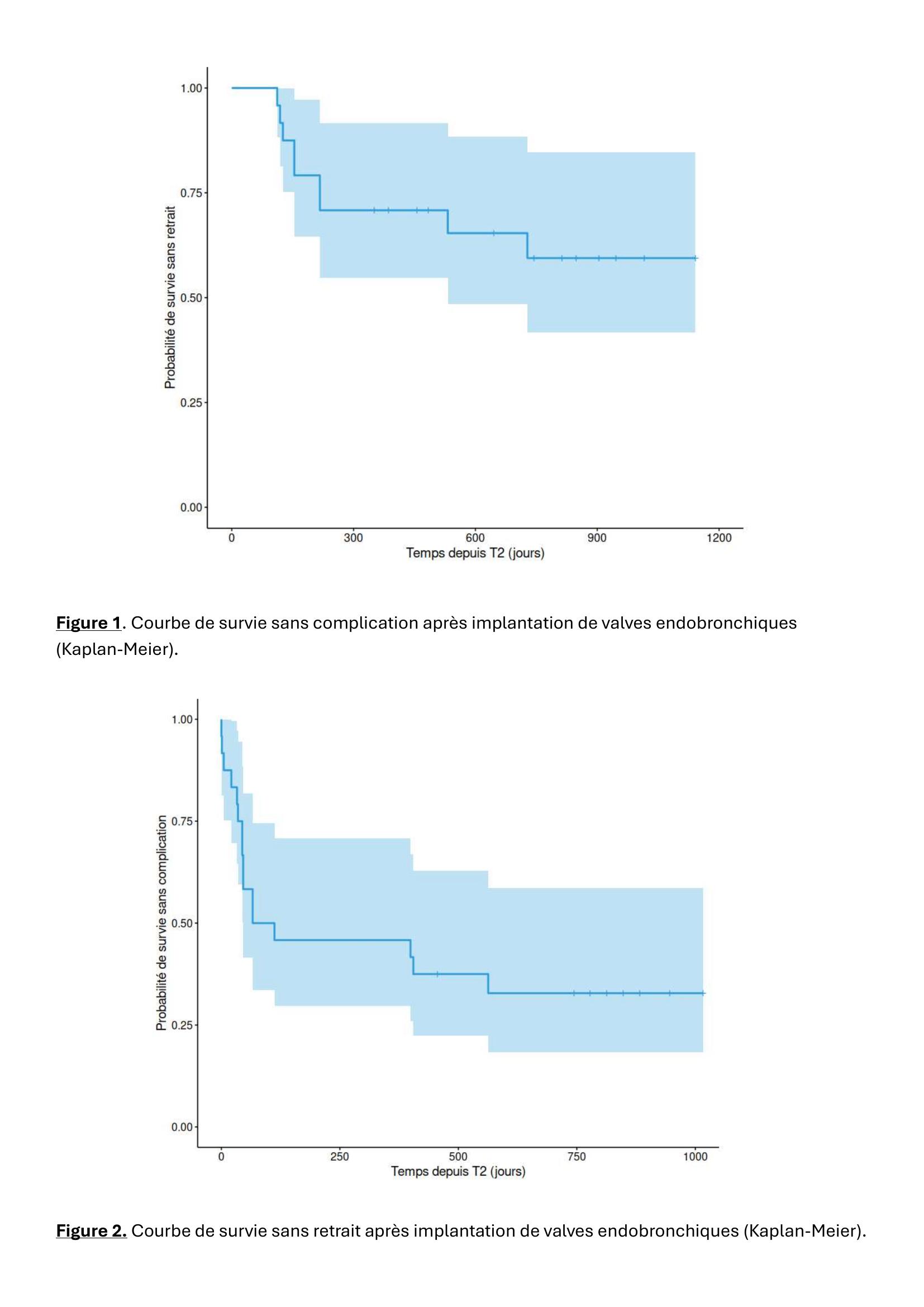
À J45, 79% des patients étaient répondeurs cliniques, et un tiers présentait une amélioration du VEMS≥15%. Les complications concernaient 63% des patients, survenant précocement (médiane 45 jours), dominées par l’aggravation des symptômes de BPCO. La moitié des patients nécessitait une fibroscopie de contrôle, avec granulomes dans 42% des cas et germes infectieux dans 76%. Un retrait de valves était nécessaire chez 38% des patients (médiane 154 jours). La comparaison entre répondeurs et non-répondeurs ne montrait pas de différence significative, hormis un nombre plus élevé de valves posées chez les non-répondeurs. Les analyses de survie confirmaient une morbidité précoce importante avec seulement 50% de survie sans complication à 100 jours (figure 1), tandis que la probabilité de maintien sans retrait atteignait deux tiers à un an (figure 2).

Conclusion

L’efficacité des valves endobronchiques n’est plus à démontrer, confirmée ici par une majorité de répondeurs cliniques et des améliorations fonctionnelles. La morbidité précoce et le recours fréquent aux réinterventions rappellent toutefois les limites de tolérance de la procédure. Les tendances suggérées par l’analyse multivariée, bien que non significatives, orientent vers des pistes pour affiner la sélection des patients, mais nécessitent confirmation sur des cohortes plus larges, ce qui constitue la principale limite de notre étude.

Références

[1] J Bronchology Interv Pulmonol. 2022 ; 29 : 224-237

9420.jpg

Dabout F. * ; Magnier R. * ; Justet A. * ; Campbell K. * ; Rivière Frédéric F. * ; Bergot E. * ; Seyed L. *
*Déclarent ne pas avoir de lien d'intérêt en rapport avec ce résumé.

 


Avec le soutien institutionnel du laboratoire GlaxoSmithKline GSK